研究・調査
22/10/17
No.102
血糖値変動のメカニズムに影響
野菜を「噛む」ことが、食後の糖代謝を促す可能性を示唆
10月1日(土)~2日(日)開催の日本咀嚼学会で発表
本日10月17日(月)からオンデマンド配信開始
キユーピー株式会社(本社:東京都渋谷区、代表取締役 社長執行役員:髙宮 満、以下キユーピー)は、学校法人早稲田大学(総長:田中 愛治)の宮下 政司教授と研究助手・亀本 佳世子先生と共同で、“噛むことの大切さ”の啓発と研究に2021年から取り組んでいます。今回、野菜(キャベツ)を「咀嚼して食べるとき」と「咀嚼せずに食べるとき」の食後における代謝への影響を調べたところ、噛むことで食後の糖代謝を促す可能性が示されました。この研究成果について、2022年10月1日(土)~2日(日)に開催された「日本咀嚼学会 第33回学術大会※1」にて発表を行いました。さらに、本日、10月17日(月)から、同発表内容のオンデマンド配信※2が始まります。
※1 「日本咀嚼学会 第33回学術大会」 https://ichi674.wixsite.com/my-site
※2 配信期間は、10月17日(月)~10月31日(月)まで。視聴には参加登録が必要です。
「ゆっくりよく噛んで食べる国民を増やす」ことに、「サラダ」が貢献できること
国が推進する食育推進基本計画※3では、「食育の推進に当たっての目標」の一つに、「ゆっくりよく噛んで食べる国民を増やす」ことが掲げられ、国民が健やかで豊かな生活を送るために「噛む」ことを推奨しています。しかしながら最近は、固い食べ物は敬遠され、やわらかい食品が好まれる傾向にあり、意識して「噛む」ことが求められます。そのような中、サラダには、歯応えのある生野菜を使うことが多く、「野菜を噛んで食べる」という良さがあります。今回、野菜を噛んで食べることの健康への影響を調べることで、サラダが持つ新たな価値の発見に取り組みました。
※3 「第4次食育推進基本計画」 https://www.mhlw.go.jp/content/000770380.pdf
インスリン、インクレチンで有意差あり。噛むことが食後の糖代謝を促す可能性を示唆
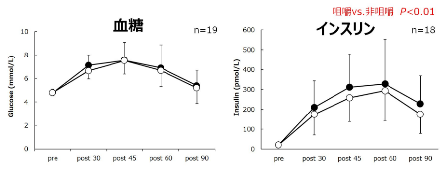
試験は19人の健康な成人男性を被験者として、「咀嚼条件」(千切りキャベツ+ゼリー飲料※4)と「非咀嚼条件」(キャベツ粉砕物+ゼリー飲料※4)に分けて行いました。食べ始めを0分として、0分、15分、30分、45分、60分、90分、120分、180分後に、それぞれの条件で採血を行い、「血糖」および、血糖値変動メカニズムの指標として「インスリン※5」「インクレチン(GIP、GLP-1)※6」の血中濃度を調べました。
その結果、食後90分までの経時変化を比較すると、インスリンとインクレチンが咀嚼により高値を示すことが確認されました(グラフ1参照)。一方、血糖では明らかな差は確認されませんでした。
※4 ゼリー飲料は、血糖を上昇させ、噛まずに摂取できる食品として摂取した。
※5 インスリン:血糖を下げる働きをもつ膵臓のβ細胞で作られるホルモンのこと。
※6 GIP・GLP-1:インスリンの分泌を促進する働きをもつホルモンのこと。


グラフ1 食後90分までの経時変化(●咀嚼条件 ◯非咀嚼条件)
野菜を噛んで食べると、“食事を受け入れる態勢が整う”
野菜を「噛む」ことで、インスリンとインクレチンが食後90分までに増加したということは、食事をする際に、最初に野菜を噛んで食べると、“食事を受け入れる態勢が整う”ことを意味すると考えられます。つまり、「野菜から食べる」ことの重要性を裏付けることにもつながります。
血糖値を下げる食習慣は大きく分けて、「食材選び」「食事のタイミング」「食べ方」の3点が挙げられます(図1参照)。その中でも、「食べ方」の一つである「咀嚼」は、インスリンの分泌を促進させる効果が期待されると言えます。

図1 血糖値を下げる主な食習慣
キユーピーグループは、2030年にどうありたいかをまとめた「キユーピーグループ 2030ビジョン」を策定しています。その一つに、「サラダとタマゴのリーディングカンパニー」を掲げ、健康的な食文化の創造に貢献していくことを明文化しています。今後も、さまざまな研究を通じて、人々の食生活が豊かになるお手伝いを続けていきます。
【共同研究者・宮下 政司先生からメッセージ】

宮下 政司先生
早稲田大学スポーツ科学学術院教授/身体活動実践や栄養改善による生活習慣病予防の評価と機序究明の研究/パフォーマンス向上やコンディショニングの研究/
International Journal of Obesity編集委員/Asian Nutrition Society for Sport and Health理事
食後の血糖値が気になり食事に気をつけていらっしゃる方は多いと思います。野菜を噛んで食べることにより血糖値を下げるホルモンであるインスリンがしっかりと分泌され、その作用機序の一つとしてインスリンの分泌を促す作用を持つホルモンであるインクレチン(GIPとGLP-1)が食後の初期段階で刺激されることが分かりました。
野菜を「噛んで食べること」に着目して食後の糖代謝の変動を検討した研究は珍しく、特にインスリンの分泌を促進するインクレチンの作用は不明でした。加齢に伴いインスリンの分泌が低下するため、野菜を「噛んで食べること」でインスリンの分泌が刺激される可能性が示唆された本研究の結果は大変意義深いです。
日常の食事の際、野菜を「噛んで食べること」をぜひ取り入れてみてください。

本成果を含む「咀嚼」の研究成果については、キユーピー研究開発サイト内のイノベーションストーリーにも掲載し、本日から公開しています。
咀嚼と健康の関係をさまざまな角度からアプローチした取り組みや、今後の展望について紹介しています。ぜひこちらも併せてご覧ください。
◆研究レポート:
「食品の咀嚼回数や咀嚼効果の研究による健康貢献」
https://www.kewpie.com/rd/innovation-story/2022_04/
印刷時には、PDFデータをご利用ください。






